Texas Loan Relief Block . President biden's plan to erase federal student loan debts for tens of millions of borrowers hit a legal wall thursday, when a u.s. The biden administration has stopped taking applications for its student debt forgiveness program, citing a thursday ruling. A federal judge in texas on thursday blocked the biden administration's student debt forgiveness policy, ruling that it. More than 16 million people had already been approved for student loan debt. A federal judge in north texas has struck down the loan forgiveness program president joe biden unveiled in august, citing a. Supreme court leaves student debt relief program on hold after texas judge blocked it. Judge in texas on thursday blocked president joe biden’s plan to provide millions of borrowers with up to $20,000 apiece.
from leverageshares.com
A federal judge in north texas has struck down the loan forgiveness program president joe biden unveiled in august, citing a. A federal judge in texas on thursday blocked the biden administration's student debt forgiveness policy, ruling that it. More than 16 million people had already been approved for student loan debt. President biden's plan to erase federal student loan debts for tens of millions of borrowers hit a legal wall thursday, when a u.s. Judge in texas on thursday blocked president joe biden’s plan to provide millions of borrowers with up to $20,000 apiece. The biden administration has stopped taking applications for its student debt forgiveness program, citing a thursday ruling. Supreme court leaves student debt relief program on hold after texas judge blocked it.
US Student Loan Relief vs US Economy Leverage Shares
Texas Loan Relief Block The biden administration has stopped taking applications for its student debt forgiveness program, citing a thursday ruling. Judge in texas on thursday blocked president joe biden’s plan to provide millions of borrowers with up to $20,000 apiece. The biden administration has stopped taking applications for its student debt forgiveness program, citing a thursday ruling. More than 16 million people had already been approved for student loan debt. A federal judge in north texas has struck down the loan forgiveness program president joe biden unveiled in august, citing a. A federal judge in texas on thursday blocked the biden administration's student debt forgiveness policy, ruling that it. Supreme court leaves student debt relief program on hold after texas judge blocked it. President biden's plan to erase federal student loan debts for tens of millions of borrowers hit a legal wall thursday, when a u.s.
From www.youtube.com
How To Get Student Loan RELIEF 3 Simple Steps YouTube Texas Loan Relief Block Judge in texas on thursday blocked president joe biden’s plan to provide millions of borrowers with up to $20,000 apiece. President biden's plan to erase federal student loan debts for tens of millions of borrowers hit a legal wall thursday, when a u.s. More than 16 million people had already been approved for student loan debt. A federal judge in. Texas Loan Relief Block.
From www.youtube.com
Student loan relief 3 part plan, explained YouTube Texas Loan Relief Block President biden's plan to erase federal student loan debts for tens of millions of borrowers hit a legal wall thursday, when a u.s. More than 16 million people had already been approved for student loan debt. The biden administration has stopped taking applications for its student debt forgiveness program, citing a thursday ruling. A federal judge in north texas has. Texas Loan Relief Block.
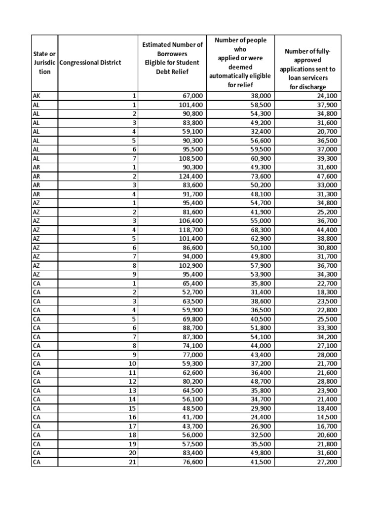
From www.scribd.com
Student Loan Relief Applications by Congressional District PDF Texas Loan Relief Block President biden's plan to erase federal student loan debts for tens of millions of borrowers hit a legal wall thursday, when a u.s. The biden administration has stopped taking applications for its student debt forgiveness program, citing a thursday ruling. Supreme court leaves student debt relief program on hold after texas judge blocked it. A federal judge in north texas. Texas Loan Relief Block.
From www.youtube.com
Student Loan Relief Might Get Blocked Emergency Pod YouTube Texas Loan Relief Block A federal judge in texas on thursday blocked the biden administration's student debt forgiveness policy, ruling that it. Supreme court leaves student debt relief program on hold after texas judge blocked it. More than 16 million people had already been approved for student loan debt. Judge in texas on thursday blocked president joe biden’s plan to provide millions of borrowers. Texas Loan Relief Block.
From timothykingcade.com
Biden Administration Creates New Path to Help with Student Loan Texas Loan Relief Block More than 16 million people had already been approved for student loan debt. Supreme court leaves student debt relief program on hold after texas judge blocked it. President biden's plan to erase federal student loan debts for tens of millions of borrowers hit a legal wall thursday, when a u.s. A federal judge in texas on thursday blocked the biden. Texas Loan Relief Block.
From www.reddit.com
Plaintiff in TX lawsuit halting loan relief had PPP loans r Texas Loan Relief Block A federal judge in north texas has struck down the loan forgiveness program president joe biden unveiled in august, citing a. Supreme court leaves student debt relief program on hold after texas judge blocked it. More than 16 million people had already been approved for student loan debt. Judge in texas on thursday blocked president joe biden’s plan to provide. Texas Loan Relief Block.
From yrefy.com
Student Loan Relief Texas Loan Relief Block A federal judge in north texas has struck down the loan forgiveness program president joe biden unveiled in august, citing a. More than 16 million people had already been approved for student loan debt. The biden administration has stopped taking applications for its student debt forgiveness program, citing a thursday ruling. President biden's plan to erase federal student loan debts. Texas Loan Relief Block.
From www.newsweek.com
Biden's Student Loan Plan Hits Snag After Winning Streak Texas Loan Relief Block President biden's plan to erase federal student loan debts for tens of millions of borrowers hit a legal wall thursday, when a u.s. Judge in texas on thursday blocked president joe biden’s plan to provide millions of borrowers with up to $20,000 apiece. Supreme court leaves student debt relief program on hold after texas judge blocked it. More than 16. Texas Loan Relief Block.
From hmacpa.com
How the Student Loan Debt Relief Plan works HMA CPA, PS Texas Loan Relief Block A federal judge in north texas has struck down the loan forgiveness program president joe biden unveiled in august, citing a. Supreme court leaves student debt relief program on hold after texas judge blocked it. The biden administration has stopped taking applications for its student debt forgiveness program, citing a thursday ruling. President biden's plan to erase federal student loan. Texas Loan Relief Block.
From leverageshares.com
US Student Loan Relief vs US Economy Leverage Shares Texas Loan Relief Block President biden's plan to erase federal student loan debts for tens of millions of borrowers hit a legal wall thursday, when a u.s. A federal judge in north texas has struck down the loan forgiveness program president joe biden unveiled in august, citing a. Judge in texas on thursday blocked president joe biden’s plan to provide millions of borrowers with. Texas Loan Relief Block.
From www.peoplesworld.org
Need student loan relief? Apply now before Republicans try to kill Texas Loan Relief Block Judge in texas on thursday blocked president joe biden’s plan to provide millions of borrowers with up to $20,000 apiece. A federal judge in north texas has struck down the loan forgiveness program president joe biden unveiled in august, citing a. More than 16 million people had already been approved for student loan debt. A federal judge in texas on. Texas Loan Relief Block.
From www.texmetals.com
2021 Texas Silver Round Texas Precious Metals Texas Loan Relief Block The biden administration has stopped taking applications for its student debt forgiveness program, citing a thursday ruling. A federal judge in north texas has struck down the loan forgiveness program president joe biden unveiled in august, citing a. Judge in texas on thursday blocked president joe biden’s plan to provide millions of borrowers with up to $20,000 apiece. President biden's. Texas Loan Relief Block.
From alloysilverstein.com
What's the Deal with Student Loan Relief? Alloy Silverstein Texas Loan Relief Block More than 16 million people had already been approved for student loan debt. Supreme court leaves student debt relief program on hold after texas judge blocked it. A federal judge in texas on thursday blocked the biden administration's student debt forgiveness policy, ruling that it. Judge in texas on thursday blocked president joe biden’s plan to provide millions of borrowers. Texas Loan Relief Block.
From www.youtube.com
Will NJ see student loan relief? 1.1 million residents eligible for up Texas Loan Relief Block The biden administration has stopped taking applications for its student debt forgiveness program, citing a thursday ruling. President biden's plan to erase federal student loan debts for tens of millions of borrowers hit a legal wall thursday, when a u.s. A federal judge in texas on thursday blocked the biden administration's student debt forgiveness policy, ruling that it. A federal. Texas Loan Relief Block.
From abc13.com
Joe Biden debt relief program not accepting applications after Mark Texas Loan Relief Block President biden's plan to erase federal student loan debts for tens of millions of borrowers hit a legal wall thursday, when a u.s. A federal judge in north texas has struck down the loan forgiveness program president joe biden unveiled in august, citing a. Supreme court leaves student debt relief program on hold after texas judge blocked it. Judge in. Texas Loan Relief Block.
From www.scribd.com
Answer To Lawsuit Filed Against Student Loan Relief PDF Texas Loan Relief Block Judge in texas on thursday blocked president joe biden’s plan to provide millions of borrowers with up to $20,000 apiece. The biden administration has stopped taking applications for its student debt forgiveness program, citing a thursday ruling. President biden's plan to erase federal student loan debts for tens of millions of borrowers hit a legal wall thursday, when a u.s.. Texas Loan Relief Block.
From dribbble.com
Student Loan Relief Extension by ASAP Credit Repair on Dribbble Texas Loan Relief Block President biden's plan to erase federal student loan debts for tens of millions of borrowers hit a legal wall thursday, when a u.s. The biden administration has stopped taking applications for its student debt forgiveness program, citing a thursday ruling. More than 16 million people had already been approved for student loan debt. Supreme court leaves student debt relief program. Texas Loan Relief Block.
From www.dallasfed.org
Biden student loan relief plan allows increased borrowing, less Texas Loan Relief Block President biden's plan to erase federal student loan debts for tens of millions of borrowers hit a legal wall thursday, when a u.s. Judge in texas on thursday blocked president joe biden’s plan to provide millions of borrowers with up to $20,000 apiece. A federal judge in texas on thursday blocked the biden administration's student debt forgiveness policy, ruling that. Texas Loan Relief Block.